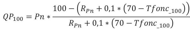
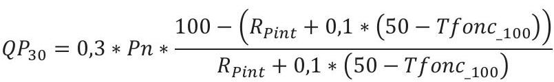
gt;100 \%$ ). Dans les équations pour le calcul du rendement de génération, ils sont donc convertis en PCS (en les divisant par $\mathrm{k}_{P C S / P C I}$ ). Le DPE exprimant les consommations en kWh PCI , les rendements de génération calculés en PCS sont ensuite convertis en PCI pour leur calcul. De même, les pertes à l'arrêt $Q_{\text {po }}$ et les puissances des veilleuses Pveil sont données pour du PCI. Pour les avoir pour du PCS avant de les utiliser dans les calculs, elles doivent être multipliées par le coefficient de conversion $\mathrm{k}_{P C S / P C I}$ Selon les énergies, le coefficient de conversion en $\mathrm{PCI} / \mathrm{PCS}$ est donné dans le tableau suivant : | Coefficient de conversion $\mathrm{k}_{P C S / P C I}$ | | | :---: | :---: | | Electricité | 1 | | Gaz naturel | 1,11 | | GPL | 1,09 | | Fioul | 1,07 | | Bois | 1,08 | | RCU | 1 | | Charbon | 1,04 | ### 13.2.1.5 Chaudières basse température et condensation : Pour les chaudières basse température et condensation, le point de fonctionnement w correspond à un fonctionnement à $15 \%$ de charge. Entre 0 et $15 \%$ de charge : $ Q P_{x}=\frac{\left[Q P_{15}-0,15 \cdot Q P_{0}\right] * x}{0,15}+0,15 * Q P_{0} $ Entre 15 et $30 \%$ de charge : $ Q P_{x}=\frac{\left[Q P_{30}-Q P_{15}\right] * x}{0,15}+Q P_{15}-\frac{\left[Q P_{30}-Q P_{15}\right] * 0,15}{0,15} $ Entre 30 et $100 \%$ de charge : $ \begin{gathered} Q P_{x}=\frac{\left[Q P_{100}-Q P_{30}\right] * x}{0,7}+Q P_{30}-\frac{\left[Q P_{100}-Q P_{30}\right] * 0,3}{0,7} \\ Q P_{15}=\frac{Q P_{30}}{2} \end{gathered} $ **Pour les chaudières basse températures:** - S'il y a une régulation : ![[Pasted image 20240909234513.png]] - En l'absence de régulation :   **Pour les chaudières à condensation :** - S'il y a une régulation : $Q P_{30}=0,3*P n*\frac{100-\left(R_{P i n t}+0,2*\left(33-T f o n c_{-30}\right)\right)}{R_{P i n t}+0,2*\left(33-T f o n c_{-30}\right)}$ - En l'absence de régulation: $ Q P_{30}=0,3 * P n * \frac{100-\left(R_{\text {Pint }}+0,2 *\left(33-\text { Tfonc }_{1} 100\right)\right)}{R_{\text {Pint }}+0,2 *\left(33-\text { Tfonc }_{\_} 100\right)} $ $ Q P_{100}=P n * \frac{100-\left(R_{P n}+0,1 *\left(70-\text { Tfonc }_{1} 100\right)\right)}{R_{P n}+0,1 *(70-\text { Tfonc } 100)} $ Tfonc_100 $\left({ }^{\circ} \mathrm{C}\right.$ ) est la température de fonctionnement de la chaudière à $100 \%$ de charge. Elle est donnée dans le tableau suivant en fonction des types d'émetteur et des différentes périodes de leur installation : | | Période | | | | :---: | :---: | :---: | :---: | | Température de distribution / Type <br> d'émetteur | Avant 1981 | Entre 1981 et <br> 2000 | Après 2000 | | Basse / Plancher ou plafond basse <br> température | 60 | 35 | 35 | | Moyenne / Radiateur à chaleur douce | 80 | 70 | 60 | | Haute / Autres émetteurs | 80 | 70 | 70 | Tfonc_ $30\left({ }^{\circ} \mathrm{C}\right.$ ) est la température de fonctionnement de la chaudière à $30 \%$ de charge. Elle est donnée dans les tableaux suivants selon le type d'installation. **Pour les chaudières à condensation :** | | Période (émetteurs) | | | | :------------------------------------------------: | :-----------------: | :---------------------: | :--------: | | Température de distribution / Type <br> d'émetteur | Avant 1981 | Entre 1981 et <br> 2000 | Après 2000 | | Basse / Plancher ou plafond basse <br> température | 32 | 24,5 | 24,5 | | Moyenne / Radiateur à chaleur douce | 38 | 35 | 32 | | Haute / Autres émetteurs | 38 | 35 | 35 | **Pour les chaudières basse température : | | Période (émetteurs) | | | | :------------------------------------------------: | :-----------------: | :---------------------: | :--------: | | Température de distribution / Type <br> d'émetteur | Avant 1981 | Entre 1981 et <br> 2000 | Après 2000 | | Basse / Plancher ou plafond basse <br> température | 42,5 | 35 | 35 | | Moyenne / Radiateur à chaleur douce | 48,5 | 45,5 | 42,5 | | Haute / Autres émetteurs | 48,5 | 45,5 | 45,5 | Si un système de génération alimente des réseaux de distribution de températures différentes, la température de fonctionnement est prise égale à la température maximale. Pour les installations récentes ou recommandées, les caractéristiques réelles des chaudières présentées sur les bases de données professionnelles peuvent être utilisées. Si l'année d'installation des émetteurs est inconnue, prendre l'année de construction du bâtiment. ### 13.2.1.6 Chaudières standard Pour les chaudières standards, le point de fonctionnement w correspond à un fonctionnement à $30 \%$ de charge, Entre 0 et $30 \%$ de charge : $ Q P_{x}=\frac{\left[Q P_{30}-0,15 * Q P_{0}\right] * x}{0,3}+0,15 * Q P_{0} $ Entre 30 et $100 \%$ de charge : $ Q P_{x}=\frac{\left[Q P_{100}-Q P_{30}\right] * x}{0,7}+Q P_{30}-\frac{\left[Q P_{100}-Q P_{30}\right] * 0,3}{0,7} $ - S'il y a une régulation  - En l'absence de régulation  $ \begin{aligned} & Q P_{100}=P n * \frac{100-\left(R_{P n}+0,1 *\left(70-\text { Tfonc }_{\_} 100\right)\right)}{R_{P n}+0,1 *\left(70-\text { Tfonc }_{\_} 100\right)} \end{aligned} $ Avec : - Tfonc $\_100\left({ }^{\circ} \mathrm{C}\right.$ ) : température de fonctionnement de la chaudière à $100 \%$ de charge. Elle est donnée dans le paragraphe précédent pour les chaudières basse température et condensation - Tfonc $_{30}\left({ }^{\circ} \mathrm{C}\right)$ : température de fonctionnement de la chaudière à $30 \%$ de charge. Elle est donnée selon le type d'installation dans les tableaux suivants **Pour une chaudière standard, jusqu'en 1990 : | | Période (émetteurs) | | | | :---: | :---: | :---: | :---: | | Température de distribution / Type <br> d'émetteur | Avant 1981 | Entre 1981 et <br> 2000 | Après 2000 | | Basse / Plancher ou plafond basse <br> température | 53 | 50 | 50 | | Moyenne / Radiateur à chaleur <br> douce | 59 | 56 | 53 | | Haute / Autres émetteurs | 59 | 56 | 56 | **Pour une chaudière standard, depuis 1991: | | Période (émetteurs) | | | | :------------------------------------------------: | :-----------------: | :---------------------: | :--------: | | Température de distribution / Type <br> d'émetteur | Avant 1981 | Entre 1981 et <br> 2000 | Après 2000 | | Basse / Plancher ou plafond basse <br> température | 49,5 | 45 | 45 | | Moyenne / Radiateur à chaleur douce | 55,5 | 52,5 | 49,5 | | Haute / Autres émetteurs | 55,5 | 52,5 | 52,5 | Si un système de génération alimente des réseaux de distribution de températures différentes, la température de fonctionnement est prise égale à la température maximale. Pour les installations récentes ou recommandées, les caractéristiques réelles des chaudières présentées sur les bases de données professionnelles peuvent être utilisées. Si l'année d'installation des émetteurs est inconnue, prendre l'année de construction du bâtiment.